More Money, Fewer Problems? How Money Affects Happiness
According to The Notorious B.I.G., Mo Money comes with Mo Problems. Let's talk about how money affects happiness, whether or not there are diminishing returns, and why people have very different opinions about whether or not money can solve all of their problems.
According to The Notorious B.I.G., Mo Money comes with Mo Problems. That may be true, but I would argue that it depends heavily on circumstance. Let's talk about how money affects happiness, whether or not there are diminishing returns, and why people have very different opinions about whether or not money can solve all of their problems.
If you would like to listen to the article instead of read, play the audio file below!
The concept of money buying happiness is somewhat controversial. I'll examine some of the most referenced data collected by social scientists in recent years and conclude the article with my personal opinion and thoughts from some of history's greatest minds.
There are several factors to consider for how money affects our happiness. Some researchers would argue that it completely depends on how we spend our money. Others believe that it hinges on how we make our money. I tend to believe that both matter, but we'll get into that later.
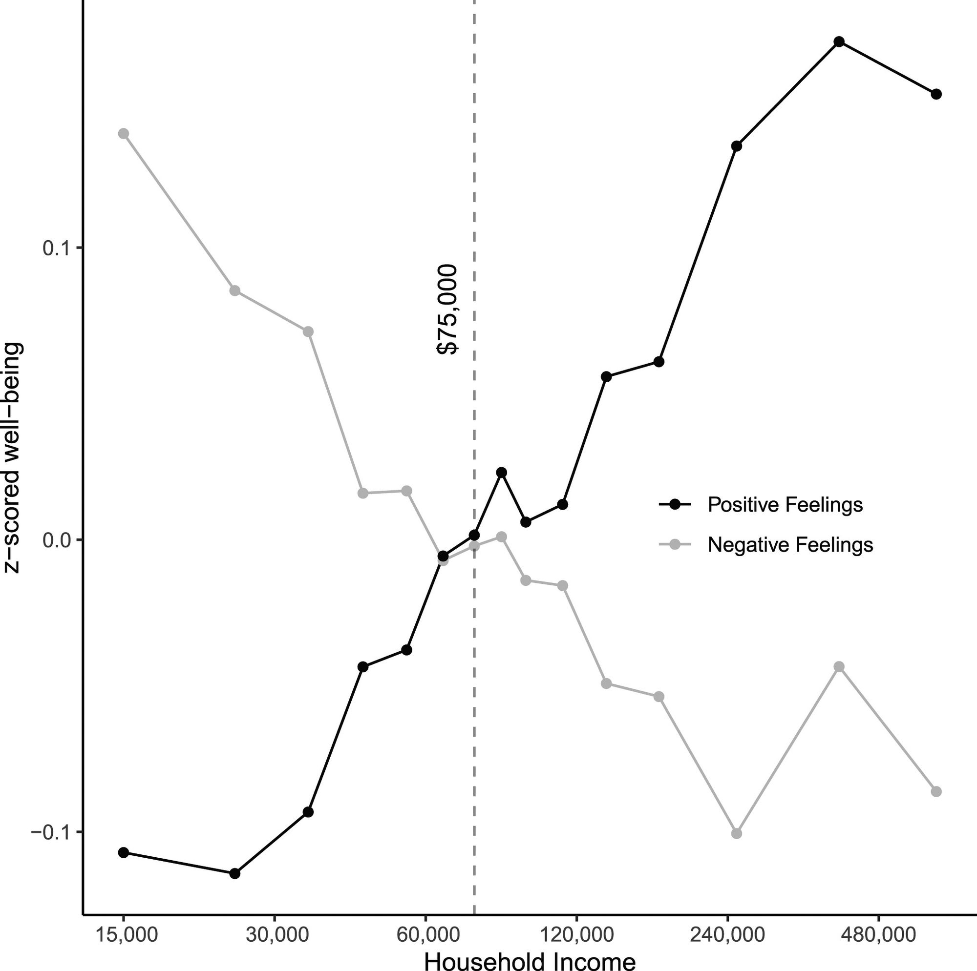
Here's the thing, there are a lot of problems that money can solve. I think that's undeniable. Housing, food, clothing, transportation, and other basic needs can all be acquired with money. The question becomes whether or not money affects happiness beyond basic needs. Well, one famous study suggested that money's impact on happiness tends to top out at a household income of $75,000 per year, at least in the United States. Truthfully, this number is a bit deceiving as it only covers 1 of the 2 subjective outcomes being measured by the researchers. The $75,000 peak only applies to what the researchers termed "emotional well-being", which is a measure of your daily emotions (anger, sadness, happiness, stress, etc...) However, there was another endpoint measured called "life evaluation", which refers to how you feel about your life when you think about it. In other words, this outcome measured how subjects answer the question, "How satisfied are you with your life as a whole?"
Although emotional well-being topped out around $75,000, life evaluation never peaked and appeared to continue to rise even beyond $160,000 per year. This is a pretty striking difference, and other researchers have since found similar results. Perhaps even more striking is just how quickly things can drop off when looking at earnings below $75,000. With the exception of stress (likely because basic needs are still met), all other positive life measures take a hard fall, particularly under $60,000 per year.

Even the $75,000 number as it pertains to emotional well-being is currently under contention. A more recent study argues that money impacts happiness far beyond that of $75,000. Using an app to track subjects' emotions at random points throughout the day, researchers took another look at emotional well-being, which they call "experienced well-being" and life evaluation, which they call "evaluative well-being".

As you can see, in this dataset the $75,000 plateau disappears. Researchers chalk this up to differences in data collection techniques and survey response options.
Since "experienced well-being" was a composite outcome of positive and negative emotions, the question became whether higher earners experienced more happiness or just less sadness. In an effort to answer that question, researchers looked more closely at each category of emotion individually. As it turns out, both were true.

Of course, all of this is subjective data. It's nearly impossible to know how money will affect your happiness. People are too different to know for sure. However, some researchers argue that earning more money should nearly always correlate with increased happiness, given that you obey certain principles. Here are the criteria I find most beneficial: buy more experiences and fewer material goods, use your money to benefit others rather than yourself, delay consumption, and consider how peripheral features of your purchases may affect your day-to-day life. To me, these are great rules to follow and I suggest reading up on each here.
Perhaps most importantly, I believe that whether or not money will increase your happiness depends heavily on what you give up to earn your money. Are you working 80-hour weeks and feeling burnt out, or failing to find meaning in your work? If so, you'll likely find that making more money doesn't increase happiness at all. In fact, higher salaries made in this way can quickly lead to life inflation, fear of living at a lower standard, and a self-realized prison of endless work that you hate. Don't let this happen to you.
I know plenty of people driving the newest BMW that hate their lives. These folks failed to understand something that philosophers have known for thousands of years. In the words of the Greek stoic Epictetus who died in 135 AD, "Wealth consists not in having great possessions, but in having few wants." Or in the words of Marcus Aurelius, who was the Emporer of Rome from 161 to 180 AD, "To live a good life: We have the potential for it. If we learn to be indifferent to what makes no difference." Having the newest car or biggest house will only increase your happiness in the short term. Their effect on you will diminish quickly, and soon enough they'll simply make no difference. They might even cause you displeasure when next year's model comes out. It's much better not to want them at all, which will prevent you from spending money on material goods and help you to spend it on experiences and adventures. Try to remember this as you make your way through your career because the trap of greed and misplaced values will continue to capture unsuspecting prey.
I recently rewatched The Pursuit of Happyness, which is a film that effectively solidifies the importance of money. It can be genuinely life-changing. You're lucky not to have grown up destitute, and I promise your current situation could be much, much worse. Still, money is very clearly not everything. Try not to take what you have for granted, prioritize what really matters rather than what gets clicks on social media, and chase your dreams with perseverance. I hope you catch them.